圖片瀏覽
  • 1997年4月24日董事長張鏡湖榮獲俄羅斯聖彼得堡大學名譽博士學位致詞講稿的圖檔,第1張,共3張
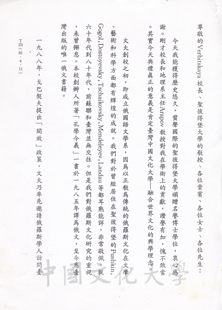
  • 1997年4月24日董事長張鏡湖榮獲俄羅斯聖彼得堡大學名譽博士學位致詞講稿的圖檔,第2張,共3張
  • 1997年4月24日董事長張鏡湖榮獲俄羅斯聖彼得堡大學名譽博士學位致詞講稿的圖檔,第3張,共3張
::: 版權所有 © 2022 中國文化大學圖書館 | 資訊安全政策
聯絡電話:(02)2861-1801分機14204
地址:臺北市11114陽明山華岡路55號
55, Hwa-Kang Rd.,Yang-Ming-Shan, Taipei, Taiwan 11114, R. O. C.
通過無障礙檢測
回到頁首