意象
校訓
校徽
校歌
校旗
吉祥物
創辦人
生平大事繫年
生平事蹟
相關研究
影音專區
數位典藏
歷史
學校沿革
院系沿革
大事記
歷任董事長
歷任院長/校長
校景
建築
風景
國際交流
姊妹校
參訪交流
故事
華岡名師
傑出校友
校園故事
華岡青年
校史文物檢索
校史文物瀏覽
出版品
華岡博物館
線上展覽
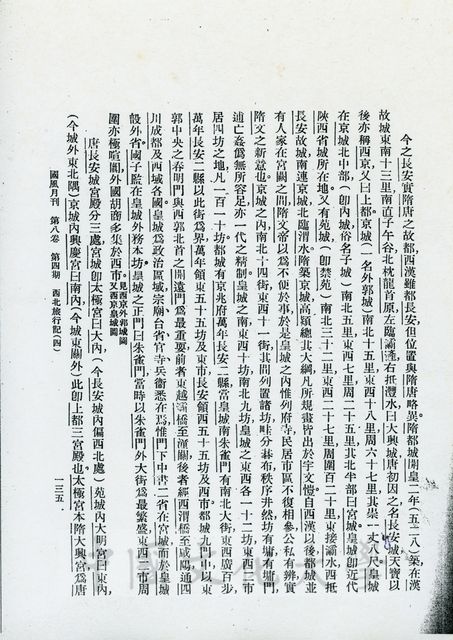
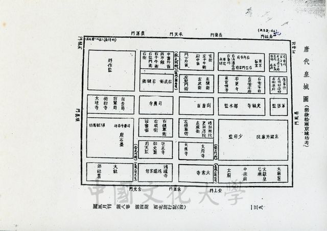
西北旅行記(四)
首頁
典藏號
XFB0163
摘要
張其昀先生西北考察紀錄
更多
expand_less
資料類型
著作
出版日期
1936/04
關鍵字
地理考察
,
地形考察
主題
中國地理
,
歷史
作者
張其昀
出版者
文海出版社
版本
副本
語言
中文
數量
11
單位
張
藏品分類
創辦人張其昀資料
尺寸
18.3 X 25
保存狀況
完整
版權聲明
開放瀏覽
補充資料
本篇收錄於:
《張其昀先生文集第3冊,地學類(3)》,台北市,國史館;中國文化大學出版部,1988年,頁1335-1345。
圖像授權
回上一頁
:::
版權所有 © 2022 中國文化大學圖書館 |
資訊安全政策
聯絡電話:(02)2861-1801分機14204
地址:臺北市11114陽明山華岡路55號
55, Hwa-Kang Rd.,Yang-Ming-Shan, Taipei, Taiwan 11114, R. O. C.
圖像授權
意象
校訓
校徽
校歌
校旗
吉祥物
創辦人
生平大事繫年
生平事蹟
相關研究
影音專區
數位典藏
歷史
沿革
學校沿革
院系沿革
大事記
歷任董事長
歷任院長/校長
校景
建築
風景
國際交流
姊妹校
參訪交流
故事
華岡名師
傑出校友
校園故事
華岡青年
校史文物檢索
校史文物瀏覽
出版品
華岡博物館
線上展覽