意象
校訓
校徽
校歌
校旗
吉祥物
創辦人
生平大事繫年
生平事蹟
相關研究
影音專區
數位典藏
歷史
學校沿革
院系沿革
大事記
歷任董事長
歷任院長/校長
校景
建築
風景
國際交流
姊妹校
參訪交流
故事
華岡名師
傑出校友
校園故事
華岡青年
校史文物檢索
校史文物瀏覽
出版品
華岡博物館
線上展覽
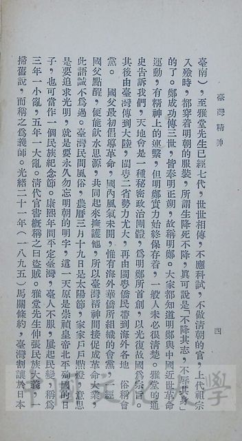
台灣精神
首頁
典藏號
XFB2727
內容描述
1950年6月28日連雅堂先生逝世十五週年紀念會講辭內容
資料類型
著作
出版日期
1950/08
關鍵字
台灣通史
,
連雅堂
主題
政治
,
政黨
作者
張其昀
出版者
革命實踐研究院
版本
原件
語言
中文
關聯人物
連雅堂
數量
10
單位
面
藏品分類
創辦人張其昀資料
尺寸
17 X 10.6
保存狀況
完整
版權聲明
開放瀏覽
補充資料
本篇收錄於:
《張其昀先生文集第9冊,史學類(6)》,台北市,國史館;中國文化大學出版部,1988年,頁4490-4496。
《三民主義概論》,臺北市,中央文物供應社,1950年。
《民族思想》,臺北市,正中書局,1951年。
圖像授權
回上一頁
:::
版權所有 © 2022 中國文化大學圖書館 |
資訊安全政策
聯絡電話:(02)2861-1801分機14204
地址:臺北市11114陽明山華岡路55號
55, Hwa-Kang Rd.,Yang-Ming-Shan, Taipei, Taiwan 11114, R. O. C.
圖像授權
意象
校訓
校徽
校歌
校旗
吉祥物
創辦人
生平大事繫年
生平事蹟
相關研究
影音專區
數位典藏
歷史
沿革
學校沿革
院系沿革
大事記
歷任董事長
歷任院長/校長
校景
建築
風景
國際交流
姊妹校
參訪交流
故事
華岡名師
傑出校友
校園故事
華岡青年
校史文物檢索
校史文物瀏覽
出版品
華岡博物館
線上展覽