意象
校訓
校徽
校歌
校旗
吉祥物
創辦人
生平大事繫年
生平事蹟
相關研究
影音專區
數位典藏
歷史
學校沿革
院系沿革
大事記
歷任董事長
歷任院長/校長
校景
建築
風景
國際交流
姊妹校
參訪交流
故事
華岡名師
傑出校友
校園故事
華岡青年
校史文物檢索
校史文物瀏覽
出版品
華岡博物館
線上展覽
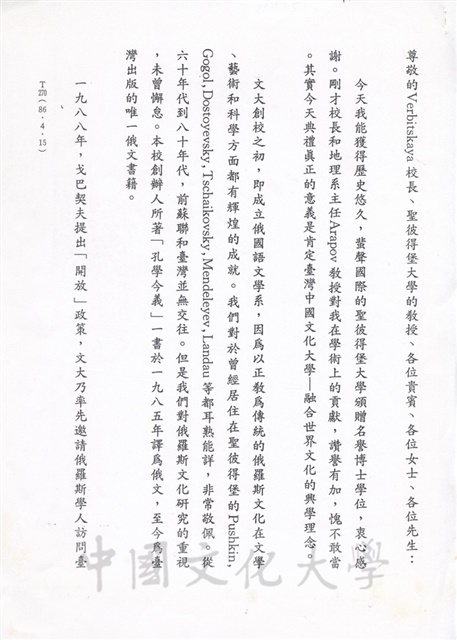
1997年4月24日董事長張鏡湖榮獲俄羅斯聖彼得堡大學名譽博士學位致詞講稿
首頁
典藏號
CCU000407
全集/系列名稱
姐妹校參訪或簽約儀式
頒贈名譽學位及榮譽獎章
張鏡湖博士相關資料
資料類型
文件
活動日期
1997/04/24
關鍵字
名譽學位
主題
學術
並列題名
1997年4月15日至5月3日中國文化大學八十六年春季歐洲姐妹校訪問
版本
原件
語言
中文
關聯人物
張鏡湖
,
薇爾碧芝卡雅(Verbitskaya
,
Liudmila A.)
,
Oldenburg
,
S. E.
,
Huntington
,
Samuel P.
,
邱切夫(Fedor Ieanovich Tyutchev)
數量
3
單位
張
藏品分類
張鏡湖董事長資料,校史文物
尺寸
29.5 X 20.9
保存狀況
完整
版權聲明
開放瀏覽
補充資料
活動新聞刊載於:
《文大校訊》,第54期,1997年5月5日。
《文大校訊》,第59期,1997年6月6日。
團體機構
聖彼得堡國立大學(Санкт-Петербургский государственный университет)
圖像授權
回上一頁
:::
版權所有 © 2022 中國文化大學圖書館 |
資訊安全政策
聯絡電話:(02)2861-1801分機14204
地址:臺北市11114陽明山華岡路55號
55, Hwa-Kang Rd.,Yang-Ming-Shan, Taipei, Taiwan 11114, R. O. C.
圖像授權
意象
校訓
校徽
校歌
校旗
吉祥物
創辦人
生平大事繫年
生平事蹟
相關研究
影音專區
數位典藏
歷史
沿革
學校沿革
院系沿革
大事記
歷任董事長
歷任院長/校長
校景
建築
風景
國際交流
姊妹校
參訪交流
故事
華岡名師
傑出校友
校園故事
華岡青年
校史文物檢索
校史文物瀏覽
出版品
華岡博物館
線上展覽