意象
校訓
校徽
校歌
校旗
吉祥物
創辦人
生平大事繫年
生平事蹟
相關研究
影音專區
數位典藏
歷史
學校沿革
院系沿革
大事記
歷任董事長
歷任院長/校長
校景
建築
風景
國際交流
姊妹校
參訪交流
故事
華岡名師
傑出校友
校園故事
華岡青年
校史文物檢索
校史文物瀏覽
出版品
華岡博物館
線上展覽
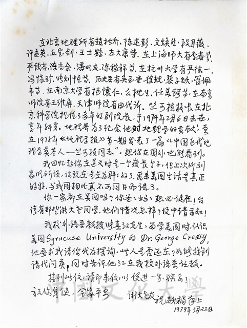
1979年3月22日浙大校友祝耀楣致張鏡湖函
首頁
典藏號
CCU001055
摘要
祝耀楣致信訴說自己在抗戰期間的遭遇,及歷經文化大革命被下放勞動,在農村六、七年,學術荒廢,幸好"四人幫"被粉碎,重回教職。信中並提及浙大史地系校友的去處,如北京地理所有趙松喬、陳述彭、文煥然...,在上海師大有李春芬、陳吉餘、陳稼祥...,在杭州大學有嚴德一、馮懷珍、張則恒...等。
更多
expand_less
全集/系列名稱
張鏡湖博士相關資料
資料類型
書信
創作日期
1979/03/22
關鍵字
四人幫
,
文化大革命
主題
人物
,
史學
,
地理
作者
祝耀楣
版本
原件
語言
中文
關聯人物
張鏡湖
,
趙松喬
,
陳述彭
,
文煥然
,
段月薇
,
許孟英
,
丘寶劍
,
王士鶴
,
左大康
,
嚴欽尚
,
陳吉餘
,
潘明友
,
陳稼祥
,
嚴德一
,
馮懷珍
,
張則恒
,
吳玉堂
,
徐規
,
黎子耀
,
管佩韋
,
楊懷仁
,
么枕生
,
任美鍔
,
王維屏
,
田代沂
,
竺可楨
,
林彪
數量
2
單位
張
藏品分類
張鏡湖董事長資料
尺寸
27.6 X 21.6
保存狀況
完整
版權聲明
請洽本館
回上一頁
:::
版權所有 © 2022 中國文化大學圖書館 |
資訊安全政策
聯絡電話:(02)2861-1801分機14204
地址:臺北市11114陽明山華岡路55號
55, Hwa-Kang Rd.,Yang-Ming-Shan, Taipei, Taiwan 11114, R. O. C.
圖像授權
意象
校訓
校徽
校歌
校旗
吉祥物
創辦人
生平大事繫年
生平事蹟
相關研究
影音專區
數位典藏
歷史
沿革
學校沿革
院系沿革
大事記
歷任董事長
歷任院長/校長
校景
建築
風景
國際交流
姊妹校
參訪交流
故事
華岡名師
傑出校友
校園故事
華岡青年
校史文物檢索
校史文物瀏覽
出版品
華岡博物館
線上展覽